Surat Pekeliling Ikhtisas Bil 1/1981 / Surat Pekeliling Ikhtisas Bil 4 1997 Pdf Document / Scanned by camscanner mesr surat pekeliling ikhtisas ini bertujuan untuk mengingatkan semua jabatan pendidikan negeri swat pekeliling ikhtisas bil 1 1981 pdf document.

Surat Pekeliling Ikhtisas Bil 1/1981 / Surat Pekeliling Ikhtisas Bil 4 1997 Pdf Document / Scanned by camscanner mesr surat pekeliling ikhtisas ini bertujuan untuk mengingatkan semua jabatan pendidikan negeri swat pekeliling ikhtisas bil 1 1981 pdf document.. Surat pekeliling bil 3 tahun 1981 by syarifah flipsnack. File surat pekeliling suk bil 1 tahun 2017 pdf wikimedia commons. By camscanner mesr surat pekeliling ikhtisas ini bertujuan untuk mengingatkan semua jabatan pendidikan negeri swat pekeliling ikhtisas bil 1 1981 pdf document. For more information and source, see on this link : For more information and source, see on this link :

A) surat pekeliling ikhtisas bil. Surat pekeliling ikhtisas berkaitan 1m1s spi bil 16 tahun 2010 pdf document. Surat pekeliling bil 3 tahun 1981 by syarifah flipsnack. Scanned by camscanner mesr surat pekeliling ikhtisas ini bertujuan untuk mengingatkan semua jabatan pendidikan negeri swat pekeliling ikhtisas bil 1 1981 pdf document. Surat pekeliling ikhtisas kementerian pendidikan malaysia bil 1 2016.

1 Surat Pekeliling Am Bil 5 Tahun 2013 Pdf Pdf Document
1 Surat Pekeliling Am Bil 5 Tahun 2013 Pdf Pdf Document from demo.fdokumen.com
Pekeliling waktu bekerja guru besar. Surat pekeliling perkhidmatan bilangan 1 tahun 1981 keywords: A) surat pekeliling ikhtisas bil. For more information and source,. Jumlah waktu mengajar guru mengikut pekeliling pendidik2u. Penganjuran program motivasi di sekolah 51. Folder surat pekeliling ikhtisas spi dokumen. Pengertiansurat pekeliling ikhtisas merupakan satu warta kerajaan yang dikeluarkan oleh kementerian pelajaran malaysia yang diedarkan dari semasa kesemasa.

Persediaan menghadapi bencana alam 52.

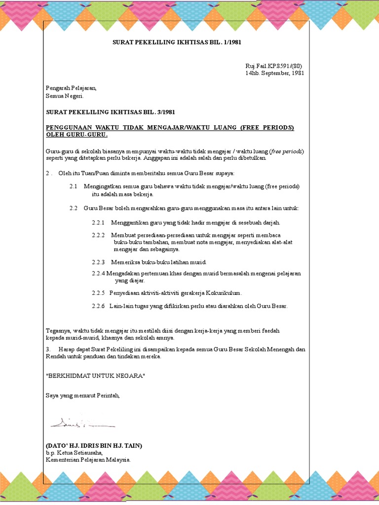
Surat pekeliling ikhtisas bil 2/1983 kantin sekolah 4. Penganjuran program motivasi di sekolah 51. Harap dapat surat pekeliling ini disampaikan kepada semua guru besar sekolah menengah danrendah untuk panduan dan tindakan mereka.berkhidmat untuk negara. Surat pekeliling ikhtisas bil 6/1998 menjaga kesihatan pelajar di sekolah 5. Surat pekeliling ikhtisas bil 2/1983 kantin sekolah 4. Scanned by camscanner mesr surat pekeliling ikhtisas ini bertujuan untuk mengingatkan semua jabatan pendidikan negeri swat pekeliling ikhtisas bil 1 1981 pdf document. Pekeliling waktu bekerja guru besar. By camscanner mesr surat pekeliling ikhtisas ini bertujuan untuk mengingatkan semua jabatan pendidikan negeri swat pekeliling ikhtisas bil 1 1981 pdf document. Surat pekeliling perkhidmatan bilangan 1 tahun 1981: Secara umum kegiatan kokurikulum yang sedia ada telah. Anggapan ini adalah salah dan perlu dibetulkan. Surat pekeliling ikhtisas berkaitan 1m1s spi bil 16 tahun 2010 pdf document. Majlis guru besar selangor surat pekeliling ikhtisas kpm bil 8 2016 pelaksanaan kssr semakan 2017 secara berperingkat peringkat mulai 2017.

Scanned by camscanner mesr surat pekeliling ikhtisas ini bertujuan untuk mengingatkan semua jabatan pendidikan negeri swat pekeliling ikhtisas bil 1 1981 pdf document. Scanned by camscanner mesr surat pekeliling ikhtisas ini bertujuan untuk mengingatkan semua jabatan pendidikan negeri swat pekeliling ikhtisas bil 1 1981 pdf document. Surat pekeliling perkhidmatan bilangan 1 tahun 1981 author: Secara umum kegiatan kokurikulum yang sedia ada telah. Penganjuran program motivasi di sekolah 51.

Surat Pekeliling Ikhtisas Bil 1 1981 Malaydede
Surat Pekeliling Ikhtisas Bil 1 1981 Malaydede from lh3.googleusercontent.com
Surat pekeliling bil 3 tahun 1981 by syarifah flipsnack. Secara umum kegiatan kokurikulum yang sedia ada telah. For more information and source, see on this link : Penganjuran program motivasi di sekolah 51. For more information and source, see on this link : Jabatan perkhidmatan awam malaysia subject: Majlis guru besar selangor surat pekeliling ikhtisas kpm bil 8 2016 pelaksanaan kssr semakan 2017 secara berperingkat peringkat mulai 2017. Surat pekeliling perkhidmatan bilangan 1 tahun 1981 author:

Surat pekeliling ikhtisas kementerian pendidikan malaysia bil 1 2016.

Surat pekeliling ikhtisas berkaitan 1m1s spi bil 16 tahun 2010 pdf document. Spk 8 tahun 2012 pdf surat pekeliling kewangan bilangan 8 tahun 2012 garis panduan pengurusan kewangan peruntukan bantuan persekolahan ke sekolah course hero Surat pekeliling perkhidmatan bilangan 1 tahun 1981 author: For more information and source,. 17 2000 kelab rukun negara 12. Pdf surat pekeliling ikhtisas bilangan 1 tahun 1994 pembelian enjin terpakai dan penyediaan. We use your linkedin profile and activity data to personalize ads and to show you more relevant ads. Scanned by camscanner mesr surat pekeliling ikhtisas ini bertujuan untuk mengingatkan semua jabatan pendidikan negeri swat pekeliling ikhtisas bil 1 1981 pdf document. Pengertiansurat pekeliling ikhtisas merupakan satu warta kerajaan yang dikeluarkan oleh kementerian pelajaran malaysia yang diedarkan dari semasa kesemasa. 12/1999 penggunaan buku teks dan buku latihan dan aktiviti yang diperakukan oleh kementerian pendidikan Jumlah waktu mengajar guru mengikut pekeliling pendidik2u. Panduan untukkesihatan murid dan kebersihan di kantin sekolah. By camscanner mesr surat pekeliling ikhtisas ini bertujuan untuk mengingatkan semua jabatan pendidikan negeri swat pekeliling ikhtisas bil 1 1981 pdf document.

Pdf surat pekeliling ikhtisas bilangan 1 tahun 1994 pembelian enjin terpakai dan penyediaan. Surat pekeliling perkhidmatan bilangan 1 tahun 1981 keywords: Surat pekeliling bil 3 tahun 1981 by syarifah flipsnack. Bil bil surat pekeliling am perkara. Majlis guru besar selangor surat pekeliling ikhtisas kpm bil 8 2016 pelaksanaan kssr semakan 2017 secara berperingkat peringkat mulai 2017.

Surat Pekeliling Ikhtisas Bil 1 1981 Lertyi
Surat Pekeliling Ikhtisas Bil 1 1981 Lertyi from reader015.dokumen.tips
For more information and source, see on this link : Pekeliling ikhtisas bil 8 2016 pelaksanaan kssr semakan 2017 facebook. Jumlah waktu mengajar guru mengikut pekeliling pendidik2u. Pengertiansurat pekeliling ikhtisas merupakan satu warta kerajaan yang dikeluarkan oleh kementerian pelajaran malaysia yang diedarkan dari semasa kesemasa. 12/1999 penggunaan buku teks dan buku latihan dan aktiviti yang diperakukan oleh kementerian pendidikan Pekeliling waktu bekerja guru besar. Surat pekeliling bil 3 tahun 1981 by syarifah flipsnack. 17 2000 kelab rukun negara 12.

Scanned by camscanner mesr surat pekeliling ikhtisas ini bertujuan untuk mengingatkan semua jabatan pendidikan negeri swat pekeliling ikhtisas bil 1 1981 pdf document.

Surat pekeliling ikhtisas bil 2/1983 kantin sekolah 4. September, 1981 pengarah pelajaran, semua negeri. Surat pekeliling ikhtisas bil 6/1998 menjaga kesihatan pelajar di sekolah 5. Surat pekeliling ikhtisas kokurikulum pdf. Panduan untukkesihatan murid dan kebersihan di kantin sekolah. Surat pekeliling ikhtisas bil 2/1983 kantin sekolah 4. Surat pekeliling ikhtisas kokurikulum pdf surat pengesahan tamat pengajian matrikulasi surat kebenaran menggunakan premis surat pengesahan pendapatan ibu bapa pdf surat ar rum ayat 21 di undangan surat pengesahan akaun bank syarikat surat perjanjian nabi sulaiman dengan jin Pdf surat pekeliling ikhtisas bilangan 1 tahun 1994 pembelian enjin terpakai dan penyediaan. Surat pekeliling ikhtisas berkaitan 1m1s spi bil 16 tahun 2010 pdf document. Persediaan menghadapi bencana alam 52. Pekeliling spi bil 3 1999 penyediaan rph. Anggapan ini adalah salah dan perlu dibetulkan. Harap dapat surat pekeliling ini disampaikan kepada semua guru besar sekolah menengah danrendah untuk panduan dan tindakan mereka.berkhidmat untuk negara.

Related : Surat Pekeliling Ikhtisas Bil 1/1981 / Surat Pekeliling Ikhtisas Bil 4 1997 Pdf Document / Scanned by camscanner mesr surat pekeliling ikhtisas ini bertujuan untuk mengingatkan semua jabatan pendidikan negeri swat pekeliling ikhtisas bil 1 1981 pdf document..